The age-old conundrum of why the temperature of the Sun’s outer atmosphere, known as the solar corona, soars above a million degrees Celsius—while the surface settles for only around 5,500°C—continues to puzzle experts. It seems counterintuitive, especially since the corona is positioned farther from the Sun’s core, where most of the energy is generated. Additionally, there’s the ongoing mystery of how the solar wind—a constant stream of charged particles—accelerates to remarkable speeds as it moves away from the Sun.
For years, scientists thought that a phenomenon called turbulent dissipation played a key role in heating the corona and speeding up the solar wind. However, how the mechanical energy transforms into heat has remained somewhat of a black box. The solar wind is not your typical gas; it consists of a super-hot, rarefied state known as plasma, and behaves unusually since its particles rarely collide, making traditional understandings of heat transfer difficult to apply.
Recently, researchers utilized data from NASA’s Parker Solar Probe to unveil a surprise: they’ve found solid evidence of a newly recognized mechanism d the helicity barrier, which might explain this perplexing heating process.
Parker Solar Probe’s Groundbreaking Discoveries
Nobody has vented as close to the Sun as NASA’s Parker Solar Probe has. This incredible spacecraft has ventured into regions of the solar corona, getting up close and personal with a hot, fast-moving, collisionless plasma. Its mission allowed scientists to observe the swirls of magnetic fields and the turbocharged particles of the solar wind like never before.
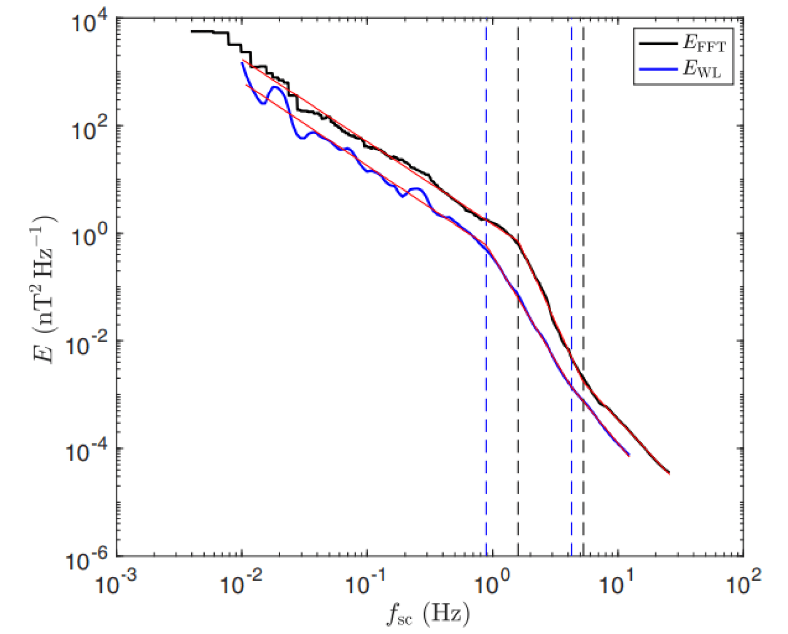
Using Parker’s instruments, the team dissected the magnetic energy spectrum within the solar wind—essentially figuring out how energy from turbulence traveled from large swirls down to tiny scales, where it can morph into heat. The intriguing findings synced up perfectly with previous theories about the proposed helicity barrier.
This barrier halts the typical downward flow of turbulent energy at certain scales. Rather than smoothly transitioning into smaller movements that produce heat, energy encounters the barrier and redirects itself. This dramatic shift significantly influences how the solar wind becomes hot and acts.
Key Findings and Their Impact
Lead researcher Jack McIntyre, a PhD student at Queen Mary University of London, spearheaded the Parker data analysis. His team discovered that the magnetic energy spectrum’s shape changed depending on specific conditions, revealing clear indicators of barrier formation when certain physical metrics were reached.
“Now we can finally address solar wind properties that have puzzled us for quite a while,” stated McIntyre. “This includes why protons often exhibit higher temperatures than electrons. Digging into this new barrier enriches our overall understanding of turbulent dissipation, aiding our comprehension of various plasma systems throughout the cosmos.”
To see the helicity barrier materialize, specific conditions regarding the plasma’s pressure and magnetic field strength are critical. The team noted the appearance of this barrier was most evident when the ion plasma beta—the ratio indicating particle pressure versus magnetic pressure—dropped below roughly 0.5. This indicates that the magnetic forces overshadow internal plasma pressures.
Moreover, they found that the barrier reinforced its impact when the “cross helicity”—a measurement of waves moving in opposing directions—pushed higher than 0.4. Simply put, when more energy flocks in one direction versus the other, the helicity barrier strengthens. These scenarios often unfold in the vicinity of the Sun, precisely where the Parker Solar Probe grapples its data. Hence, it’s likely that the helicity barrier significantly shapes the solar wind’s conduct and isn’t just an isolated occurrence.
Why You Should Care
According to Dr. Christopher Chen, a specialist in Space Plasma Physics at Queen Mary and McIntyre’s mentor, these findings are game-changers. “This paper provides undeniable proof of the helicity barrier’s existence,” he explained. “It addresses longstanding mysteries regarding coronal heating and solar wind acceleration, like temperature disparities in the solar atmosphere and the fluctuations observed in solar wind streams.”
This exciting discovery doesn’t just enhance our solar knowledge. Various regions throughout the universe house hot, rarefied plasmas akin to the solar wind—from the vast interstellar spaces to entire galaxies. These areas display equally complex turbulence, yet previously, researchers struggled to understand how energy shifted and turned to heat in such environments.
With this confirmation of the helicity barrier in the solar wind, scientists have acquired a striking example to analyze. The Sun acts as a natural laboratory a mere millions of miles away, and the Parker Solar Probe enables fresh insights into previously elusive dynamics.
The Bigger Picture
Grasping turbulent dissipation in plasmas is not just about scholarly curiosity. It holds utility in predicting space weather as storms involving solar winds can wreak havoc on satellites, disrupt communications, and even cause power outages on Earth. Understanding energy dynamics in the solar wind could refine prediction models and lessen the likelihood of sudden, damaging events.
This research groundwork is expected to refine modeling of not just our Sun but other stars and cosmic structures as well. With a deepened grasp of plasma behaviors and temperature mechanics, scientists can elucidate everything from the glittering arms of galaxies to the bewildering phenomena of materials plummeting into black holes.
Though many questions remain, this fresh insight equips scientists with a vital piece for solving the larger puzzle. The confirmation of the helicity barrier’s role as a driving force behind solar dynamics enhances our comprehension of how extreme regions of the universe perform.
As McIntyre and his team continue diving into Parker’s rich data, they may unveil even more exciting secrets hidden within the solar winds. It’s evident that the barrier that once seemed an obstacle to heat generation is fast becoming an avenue toward major discoveries.
For those interested in the research findings, they are readily available online in the journal Physical Review X.
